2015年内蒙古通辽市中考化学试题(word版,含答案)
2015年内蒙古通辽市中考化学试题(word版,含答案)
内蒙古通辽市2015年中考化学试卷
一、选择题(本题包括10小题,每小题1分,共10分.每小题只有一个正确答案,请在答题卡上将代表正确答案的字母用2B铅笔
涂黑.)?
1.物质世界充满了变化,下列变化中属于物理变化的是( )
|
|
A. |
光合作用 |
B. |
钢铁生锈? |
C. |
森林着火 |
D. |
冰雪融化? |
2.下列物质中属于纯净物的是( )
|
|
A. |
碘酒 |
B. |
黄铜 |
C. |
氧气[来源:学+科+网] |
D. |
|
4.下列事实的结论、解释或方法中不正确的是( )
|
|
A. |
稀盐酸用于除铁锈﹣﹣酸能与金属氧化物反应? |
|
|
B. |
洗涤剂去除油污﹣﹣溶解作用? |
|
|
C. |
区分硬水与软水﹣﹣加肥皂水搅拌? |
|
|
D. |
区分羊毛纤维与合成纤维﹣﹣灼烧后闻气味 |
5.(1分)(2015•通辽)在一定条件下,在一个密闭容器
内发生某反应,测得反应过程中各物质的质量如下表所示,下列说法不正确的是( )
|
物质[来源:学科网ZXXK] |
X |
Y |
Z |
W |
|
反应前质量/g |
10 |
3 |
90 |
0 |
|
反应后质量/g |
3.2 |
3 |
待测 |
3.2 |
|
|
A. |
W可能是单质 |
B. |
Y可能是催化剂 |
|
|
C. |
该反应是分解反应 |
D. |
反应后Z物质的质量为86.4g |
6.(1分)(2015•通辽)加碘食盐是在食盐中加入碘酸钾(KIO3),下列有关碘酸钾的说法正确的是?( )
|
|
A. |
属于氧化物 |
|
|
B. |
钾、碘、氧三种元素质量比为1:1:3? |
|
|
C. |
碘元素的化合价为+5 |
|
|
D. |
属于钾盐、不溶于水? |
7.(1分)(2015•通辽)下列应用和相应的原理(用化学方程式表示)及基本反应类型都正确的是( )
|
|
A. |
50℃时,三种物质的溶解度由大到小的顺序是A>B>C? |
|
|
B. |
50℃时,把50g A放入50g水中形成75g A的饱和溶液 |
|
|
C. |
20℃时,A和C两种物质的溶解度相等? |
|
|
D. |
分别将三种物质的饱和溶液从50℃降至20℃时,所得溶液溶质质量分数大小关系是B>C=A?[来源:学。科。网] |
10.(1分)(2015•通辽)推理和归纳是学习化学知识、培养自学能力的有效途径.以下推理正确的是( )
|
|
A. |
碱溶液的pH都大于7﹣﹣pH大于7的溶液不一定都是碱溶液? |
|
|
B. |
化学反应常常伴有能量变化﹣﹣有能量释放的变化都是化学反应? |
|
|
C.[来源:学,科,网Z,X,X,K] |
同种分子构成的物质一定是纯净物﹣﹣纯净物一定都是由同种分子构成的? |
|
|
D. |
碳酸盐与盐酸反应会产生气体﹣﹣与盐酸反应生成气体的物质一定都是碳酸盐 |
二、填空与简答题(本题包括3小题,每空1分,共16分)?
11.(6分)(2015•通辽)生产、生活、科技、环保等都离不开化学.?
(1)如图1食物中富含蛋白质的是 (填字母序号).?
(2)材料的应用与发展,大大方便了人们的生活.请选择下列三种材料中的对应字母填空.?
A.有机合成材料 B.金属材料 C.天然有机高分子材料?
塑料制
品属于 .?
(3)节能、减排、低碳、环保是当今世界的主旋律.?
①开发 等新能源(举一例),不仅可以部分解决化石能源紧缺问题,
还可以减少对环境的污染.?
②煤燃烧时加入适当的物质,可以减少 气体(写化学式)和氮的氧化物等有害气体排放,有效减少酸雨的形成.?
(4)燃烧与我们的生活以及社会的发展有着密切联系,通过对图2的分析,你发现可燃物燃烧不仅需要氧气,还需要同时具备的条件是 .?
(5)我国钢铁产量居世界首位,请写出炼铁高炉中一氧化碳和赤铁矿(主要成分为Fe2O3)反应的化学方程式 .?
12.(4分)(2015•通辽)(1)化学用语是最简明、国际通用的语言,请用化学符号填空.?
①镁离子
②2个氦原子 ?
(2)请从下列我们熟悉的物质中选择相应物质的序号填空.?
①烧碱 ②氯化钠 ③氢氧化钙 ④小苏打 ⑤石墨?
A.可用于改良酸性土壤的是 .?
B.可用于制铅笔芯的是 .
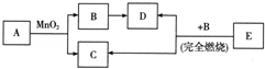
13.(3分)(2015•通辽)已知A、B、C、D、E五种物质之间存在以下的转化关系.其中A、C两种物质的组成元素相同,且常温下为液体,E
是天然气的主要成分.?
试回答:?
①
写出A→B+C的化学方程式: .?
②写出E物质完全燃烧的化学方程式: .?
③写出D物质的一种用途: .
14.(3分)(2015•通辽)实验室要配制100g溶质质量分数为10%的氯化钠溶液.?
①需氯化钠的质量为 .?
②某同学按如图所示步骤依次操作:?
其中操作错误的步骤是 (填字母序号).?
③操作E中用玻璃棒搅拌,其目的是 .?
三、实验与探究题(本题包括3小题,每空1分,共16分)?
15.(4分)(2015•通辽)以下是初中化学的一些基本实验,请根据实验内容回答下列问题.?
(1)A实验结束待集气瓶冷却后,
进入集气瓶中水的体积小于集气瓶容积的,可能的原因是 (填一条即可).?
(2)放置一周后,B实验观察到的现象是 .?
(3)C实验产
生氧气与氢气的体积比约为 .?
(4)D实验观察到的现象是 .?
16.(4分)(2015•通辽)如图1是实验室制取氧气或二氧化碳时经常用到的仪器,请回答有关问题.?
(1)写出仪器名称:⑧ .?
(2)实验室用大理石和稀盐酸反应制取较多量CO2时,发生装置的仪器组合是 (选填序号).反应的化学方程式为 .?
(3)若用图2装置收集二氧化碳气体,进气口应为 端.(选填“m”或“n”)
17.(8分)(2015•通辽)在学习酸、碱、盐的性质时,某组同学将碳酸钠溶液和一瓶标签破损的溶液M(如图)进行反应,有白色沉淀产生,过滤后得到澄清滤液.同学们对该实验进行了一系列的探究.?
探究一:M溶液中的溶质是什么??
(1)【提出
猜想】该组同学认为M溶液的溶质有两种可能:?
①是,②是CaCl2.?
【收集资料】CaCl2水溶液呈中性.?
(2)【设计实验】同学们设计了如下方案并进行实验:?
|
实验操 |
实验现象 |
实验结论 |
|
取少量M溶液于试管中,向其?中滴入 |
溶液变红 |
猜想①正确 |
探究二:过滤后澄清滤液中会有哪些溶质??
【提出猜想】?
猜想一:NaOH和Na2CO3;?
猜想二: ;?
猜想三:NaOH.?
(3)【实验验证】同学们针对“猜想一”进行如下实验:?
|
实验操作 |
实验现象 |
实验结论 |
|
取样于试管中,滴入几滴稀盐酸 |
没有气泡产生 |
“猜想一”不成立 |
他们的实验结论是否正确? (填“是”或“否”)
(4)【继续探究】设计如下实验方案确定滤液中溶质的组成.?
|
实验操作 |
实验现象 |
实验结论 |
|
分别取少量滤液于A、B两支试管中,A中加入CaCl2溶液,B中加入 溶液 |
若A中产生白色沉淀,B中没有沉淀 |
“猜想一”成立[来源:学,科,网Z,X,X,K] |
|
|
“猜想二”成立 |
|
|
若A、B中都没有沉淀产生 |
“猜想三”成立 |
(5)【反思与拓展】?
①为防止标签被腐蚀而破损,倾倒液体时 .?
②在分析反应后所得溶液中溶质时,除考虑可溶性的生成物,还应考虑 .
四、计算与分析题(本题包括2小题,共8分)?
18.(2分)(2015•通辽)如图是消炎药诺氟沙星胶囊的说明书.请阅读说明书回答以下问题:?
(1)诺氟沙星分子中氢、氧的原子个数比为 .
(2)159.5g诺氟沙星中碳元素的质量是 .
19.(6分)(2015•通辽)某校化学兴趣小组用一瓶含有少量氯化钠的硫酸钠固体样品,进行如图所示的实验.?
请根据以上信息计算(结果保留到小数点后两位):?
(1)反应生成沉淀的质量为 .?
(2)样品中氯化钠的质量.????
(3)滤液中溶质的质量分数.
参考答案
更多2015年中考试题及答案查询请点击:http://www.zspx.cn/news-id-8538.html (全国各地2015中考试题及答案下载汇总)

