2016海南热带海洋学院分数线(附15年各省分数)
2016海南热带海洋学院分数线(附15年各省分数)
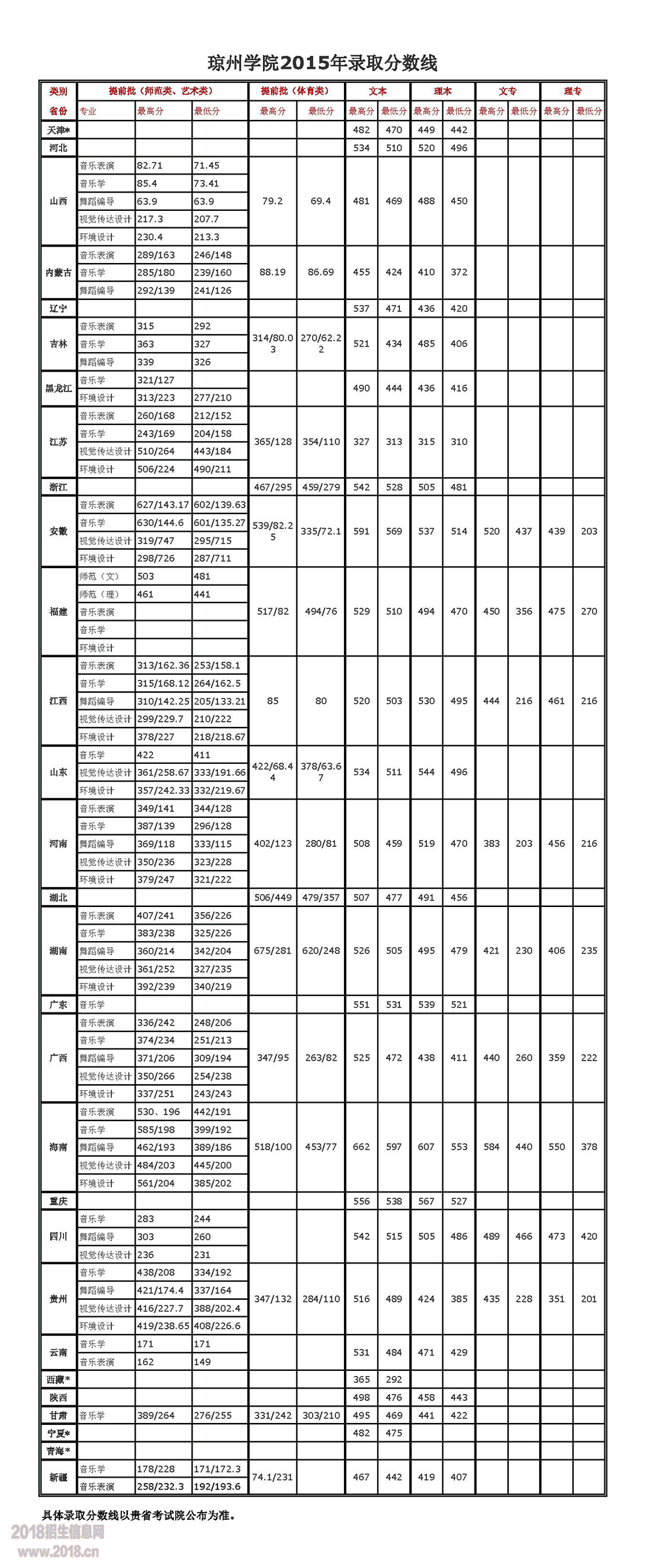
2016海南热带海洋学院分数线参考:2018招生网整理了海南热带海洋学院2015年录取分数线各省各专业录取分数情况统计
(琼州学院)海南热带海洋学院2015年录取分数线
2016海南热带海洋学院分数线及2015年分数线各省情况完整版数据请进入海南热带海洋学院招生网官网历年录取栏目查看更新:点击进入查询
温馨提示:本站将及时更新南热带海洋学院分数线,敬请收藏本站以便关注最新更新动态!更多高校2016年高考录取分数线查询请点击:http://www.zspx.cn/news-id-14920.html (全国2016年大学录取分数线查询)
责任编辑:海南热带海洋学院

